RESISTE
La perception numérique
Faits marquants
Micro-Anemométre SiC : Verrou technologique levé : isolation électrique de fils SiC flottants en proche proximité
Premier calorimètre SiC intégré et testé en soufflerie de couche limite
2024 :
- Validation d’un procédé de transfert de couche du SiC sur substrat isolant.
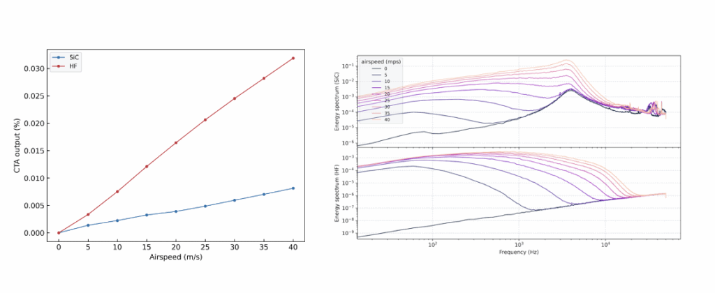
- Validation du fonctionnement du capteur avec un over-heat à 1000°C et une sensibilité à 700 ppm/K
- Validation du capteur en soufflerie pour la mesure du décrochage sur un profil NACA 18.
2025:
- Structure calorimètre SiC
- Élaboration d’une électronique d’anémométrie à T° constante (CTA)
- Calibration en frottement pariétal en soufflerie de couche limite turbulente à l’ONERA Lille
Le projet
Pilotes scientifiques : Nicolas Tiercelin – CNRS & Sophie Giroud – CEA
Établissement coordinateur : CNRS
Défi
Créer une filière technologique spécifique de MEMS pour applications extrêmes, destinés aux secteurs hautement stratégiques
Titre complet du projet
capteuRs microsystèmES electro-mécanIqueS pour environnemenTs sévèrEs
Objectif
Développer des capteurs avec des matériaux permettant d’opérer dans des environnements sévères (températures > à plusieurs centaines de °C, atmosphères corrosives, radiations, accélérations très élevées)
Secteurs
AÉROSPATIAL
INDUSTRIE
ENVIRONNEMENT
NUCLÉAIRE
SÉCURITÉ
Aperçu
L’objectif du projet RESISTE est de contribuer au développement en France d’une filière spécifique de capteurs micro-électro-mécaniques (MEMS) basés sur des matériaux permettant d’opérer dans des environnements sévères ou règnent par exemple des températures élevées (> qq 100 °C), des atmosphères corrosives, des radiations ou des forces et accélérations très élevées (> 1000g). Pour ces applications extrêmes, les solutions classiques en technologies silicium ne sont pas adaptées. Il s’agit d’un marché de niche, mais la fourniture de ce type de capteurs relève d’un enjeu de souveraineté nationale car ils sont nécessaires au bon fonctionnement d’installations et d’équipements dans des filières hautement stratégiques comme le nucléaire, l’aéronautique, le spatial, ou des applications militaires. Aujourd’hui, il n’existe pas encore de filières technologiques stables au niveau national, mais les moyens technologiques, les compétences et les idées sont réunis pour cela. Le projet se focalisera sur l’utilisation de semi-conducteurs à large bande interdite comme le diamant, les III-N et le carbure de silicium qui disposent de propriétés physiques surpassant celles des empilements technologiques les plus souvent à base de Si sur de nombreux points critiques pour la fabrication des MEMS : plus grand coefficient de résistivité thermique, plus grande résistance mécanique, fort module d’Young et inertie chimique. Grâce à un consortium qui a montré ses capacités dans le domaine des MEMS et des matériaux considérés, plusieurs verrous sont alors adressables : possibilités de structuration, contrôle des propriétés électriques, opérabilité à hautes températures et en environnements chimiques et radiatifs complexes. Il s’agira de définir les besoins en matériaux en fonction des applications visées, puis de développer les procédés technologiques de dépôt et de traitement en s’appuyant sur les savoir-faire existants. Trois applications de capteurs seront développées : (i) Pour l’anémométrie d’écoulements extrêmes, (ii) la mesure d’accélérations ultimes et (iii) la détection de composés chimiques en milieu hostile comme les environnements radiatifs. Un point (iv) sera dédié à l’interfaçage des capteurs. Enfin, les problématiques d’encapsulation seront traitées avec l’action transverse PAC.
Laboratoires du consortium
